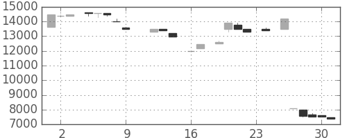
9月前年同月の日足チャート
アドテストの日足チャート(2020年9月)
| 年月 | 各国政策金利 | ||||||
|---|---|---|---|---|---|---|---|
| 日本 | アメリカ | 欧州 | 豪州 | NZ | 英国 | 南アフリカ | |
| 2020年9月 | -0.10% | 0.25% | 0.00% | 0.25% | 0.25% | 0.10% | 3.50% |
アドテストの日足チャート(2018年9月)
| 年月 | 各国政策金利 | ||||||
|---|---|---|---|---|---|---|---|
| 日本 | アメリカ | 欧州 | 豪州 | NZ | 英国 | 南アフリカ | |
| 2018年9月 | -0.10% | 2.25% | 0.00% | 1.50% | 1.75% | 0.75% | 6.50% |
アドテストの日足チャート(2017年9月)
| 年月 | 各国政策金利 | ||||||
|---|---|---|---|---|---|---|---|
| 日本 | アメリカ | 欧州 | 豪州 | NZ | 英国 | 南アフリカ | |
| 2017年9月 | -0.10% | 1.25% | 0.00% | 1.50% | 1.75% | 0.25% | 6.75% |
アドテストの日足チャート(2016年9月)
| 年月 | 各国政策金利 | ||||||
|---|---|---|---|---|---|---|---|
| 日本 | アメリカ | 欧州 | 豪州 | NZ | 英国 | 南アフリカ | |
| 2016年9月 | -0.10% | 0.50% | 0.00% | 1.50% | 2.00% | 0.25% | 7.00% |
アドテストの日足チャート(2015年9月)
| 年月 | 各国政策金利 | ||||||
|---|---|---|---|---|---|---|---|
| 日本 | アメリカ | 欧州 | 豪州 | NZ | 英国 | 南アフリカ | |
| 2015年9月 | 0.00% | 0.25% | 0.05% | 2.00% | 2.75% | 0.50% | 6.00% |
アドテストの日足チャート(2014年9月)
| 年月 | 各国政策金利 | ||||||
|---|---|---|---|---|---|---|---|
| 日本 | アメリカ | 欧州 | 豪州 | NZ | 英国 | 南アフリカ | |
| 2014年9月 | 0.00% | 0.25% | 0.05% | 2.50% | 3.50% | 0.50% | 5.75% |
アドテストの日足チャート(2013年9月)
| 年月 | 各国政策金利 | ||||||
|---|---|---|---|---|---|---|---|
| 日本 | アメリカ | 欧州 | 豪州 | NZ | 英国 | 南アフリカ | |
| 2013年9月 | 0.00% | 0.25% | 0.50% | 2.50% | 2.50% | 0.50% | 5.00% |
アドテストの日足チャート(2012年9月)
| 年月 | 各国政策金利 | ||||||
|---|---|---|---|---|---|---|---|
| 日本 | アメリカ | 欧州 | 豪州 | NZ | 英国 | 南アフリカ | |
| 2012年9月 | 0.10% | 0.25% | 0.75% | 3.50% | 2.50% | 0.50% | 5.00% |
アドテストの日足チャート(2011年9月)
| 年月 | 各国政策金利 | ||||||
|---|---|---|---|---|---|---|---|
| 日本 | アメリカ | 欧州 | 豪州 | NZ | 英国 | 南アフリカ | |
| 2011年9月 | 0.10% | 0.25% | 1.50% | 4.75% | 2.50% | 0.50% | 5.50% |
アドテストの日足チャート(2010年9月)
| 年月 | 各国政策金利 | ||||||
|---|---|---|---|---|---|---|---|
| 日本 | アメリカ | 欧州 | 豪州 | NZ | 英国 | 南アフリカ | |
| 2010年9月 | 0.10% | 0.25% | 1.00% | 4.50% | 3.00% | 0.50% | 6.00% |
アドテストの日足チャート(2009年9月)
| 年月 | 各国政策金利 | ||||||
|---|---|---|---|---|---|---|---|
| 日本 | アメリカ | 欧州 | 豪州 | NZ | 英国 | 南アフリカ | |
| 2009年9月 | 0.10% | 0.25% | 1.00% | 3.00% | 2.50% | 0.50% | 7.00% |
アドテストの日足チャート(2008年9月)
| 年月 | 各国政策金利 | ||||||
|---|---|---|---|---|---|---|---|
| 日本 | アメリカ | 欧州 | 豪州 | NZ | 英国 | 南アフリカ | |
| 2008年9月 | 0.50% | 2.00% | 4.25% | 7.00% | 7.50% | 5.00% | 12.00% |
アドテストの日足チャート(2007年9月)
| 年月 | 各国政策金利 | ||||||
|---|---|---|---|---|---|---|---|
| 日本 | アメリカ | 欧州 | 豪州 | NZ | 英国 | 南アフリカ | |
| 2007年9月 | 0.50% | 4.75% | 4.00% | 6.50% | 8.25% | - | 10.00% |
アドテストの日足チャート(2006年9月)
| 年月 | 各国政策金利 | ||||||
|---|---|---|---|---|---|---|---|
| 日本 | アメリカ | 欧州 | 豪州 | NZ | 英国 | 南アフリカ | |
| 2006年9月 | 0.25% | 5.25% | 3.00% | 6.00% | 7.25% | - | 8.00% |
アドテストの日足チャート(2005年9月)
| 年月 | 各国政策金利 | ||||||
|---|---|---|---|---|---|---|---|
| 日本 | アメリカ | 欧州 | 豪州 | NZ | 英国 | 南アフリカ | |
| 2005年9月 | 0.15% | 3.75% | 2.00% | 5.50% | 6.75% | - | 7.00% |
アドテストの日足チャート(2004年9月)
| 年月 | 各国政策金利 | ||||||
|---|---|---|---|---|---|---|---|
| 日本 | アメリカ | 欧州 | 豪州 | NZ | 英国 | 南アフリカ | |
| 2004年9月 | 0.15% | 1.75% | 2.00% | 5.25% | 6.25% | - | 7.50% |
アドテストの日足チャート(2003年9月)
| 年月 | 各国政策金利 | ||||||
|---|---|---|---|---|---|---|---|
| 日本 | アメリカ | 欧州 | 豪州 | NZ | 英国 | 南アフリカ | |
| 2003年9月 | 0.15% | 1.00% | 2.00% | 4.75% | 5.00% | - | 10.00% |
アドテストの日足チャート(2002年9月)
| 年月 | 各国政策金利 | ||||||
|---|---|---|---|---|---|---|---|
| 日本 | アメリカ | 欧州 | 豪州 | NZ | 英国 | 南アフリカ | |
| 2002年9月 | 0.15% | 1.75% | 3.25% | 4.75% | 5.75% | - | 13.50% |
アドテストの日足チャート(2001年9月)
| 年月 | 各国政策金利 | ||||||
|---|---|---|---|---|---|---|---|
| 日本 | アメリカ | 欧州 | 豪州 | NZ | 英国 | 南アフリカ | |
| 2001年9月 | 0.15% | 3.00% | 3.75% | 4.75% | 5.25% | - | 9.50% |
アドテストの日足チャート(2000年9月)
| 年月 | 各国政策金利 | ||||||
|---|---|---|---|---|---|---|---|
| 日本 | アメリカ | 欧州 | 豪州 | NZ | 英国 | 南アフリカ | |
| 2000年9月 | 0.25% | 6.50% | 4.50% | 6.25% | 6.50% | - | 11.75% |
アドテストの日足チャート(1999年9月)
アドテストの日足チャート(1998年9月)
アドテストの日足チャート(1997年9月)
アドテストの日足チャート(1996年9月)
アドテストの日足チャート(1995年9月)
アドテストの日足チャート(1994年9月)
アドテストの日足チャート(1993年9月)
アドテストの日足チャート(1992年9月)
アドテストの日足チャート(1991年9月)
アドテストの日足チャート(1990年9月)
アドテストの日足チャート(1989年9月)
アドテストの日足チャート(1988年9月)
アドテストの日足チャート(1987年9月)
アドテストの日足チャート(1986年9月)
アドテストの日足チャート(1985年9月)
アドテストの日足チャート(1984年9月)
アドテストの日足チャート(1983年9月)
