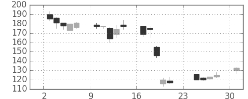
2001年の日足チャート
川重の日足チャート(2001年12月)
| 年月 | 各国政策金利 | ||||||
|---|---|---|---|---|---|---|---|
| 日本 | アメリカ | 欧州 | 豪州 | NZ | 英国 | 南アフリカ | |
| 2001年12月 | 0.15% | 1.75% | 3.25% | 4.25% | 4.75% | - | 9.50% |
川重の日足チャート(2001年11月)
| 年月 | 各国政策金利 | ||||||
|---|---|---|---|---|---|---|---|
| 日本 | アメリカ | 欧州 | 豪州 | NZ | 英国 | 南アフリカ | |
| 2001年11月 | 0.15% | 2.00% | 3.25% | 4.50% | 4.75% | - | 9.50% |
川重の日足チャート(2001年10月)
| 年月 | 各国政策金利 | ||||||
|---|---|---|---|---|---|---|---|
| 日本 | アメリカ | 欧州 | 豪州 | NZ | 英国 | 南アフリカ | |
| 2001年10月 | 0.15% | 2.50% | 3.75% | 4.50% | 5.25% | - | 9.50% |
川重の日足チャート(2001年9月)
| 年月 | 各国政策金利 | ||||||
|---|---|---|---|---|---|---|---|
| 日本 | アメリカ | 欧州 | 豪州 | NZ | 英国 | 南アフリカ | |
| 2001年9月 | 0.15% | 3.00% | 3.75% | 4.75% | 5.25% | - | 9.50% |
川重の日足チャート(2001年8月)
| 年月 | 各国政策金利 | ||||||
|---|---|---|---|---|---|---|---|
| 日本 | アメリカ | 欧州 | 豪州 | NZ | 英国 | 南アフリカ | |
| 2001年8月 | 0.15% | 3.50% | 4.25% | 5.00% | 5.75% | - | 11.00% |
川重の日足チャート(2001年7月)
| 年月 | 各国政策金利 | ||||||
|---|---|---|---|---|---|---|---|
| 日本 | アメリカ | 欧州 | 豪州 | NZ | 英国 | 南アフリカ | |
| 2001年7月 | 0.15% | 3.75% | 4.50% | 5.00% | 5.75% | - | 11.00% |
川重の日足チャート(2001年6月)
| 年月 | 各国政策金利 | ||||||
|---|---|---|---|---|---|---|---|
| 日本 | アメリカ | 欧州 | 豪州 | NZ | 英国 | 南アフリカ | |
| 2001年6月 | 0.15% | 3.75% | 4.50% | 5.00% | 5.75% | - | 11.00% |
川重の日足チャート(2001年5月)
| 年月 | 各国政策金利 | ||||||
|---|---|---|---|---|---|---|---|
| 日本 | アメリカ | 欧州 | 豪州 | NZ | 英国 | 南アフリカ | |
| 2001年5月 | 0.15% | 4.00% | 4.50% | 5.00% | 5.75% | - | 12.00% |
川重の日足チャート(2001年4月)
| 年月 | 各国政策金利 | ||||||
|---|---|---|---|---|---|---|---|
| 日本 | アメリカ | 欧州 | 豪州 | NZ | 英国 | 南アフリカ | |
| 2001年4月 | 0.15% | 4.50% | 4.75% | 5.00% | 6.00% | - | 12.00% |
川重の日足チャート(2001年3月)
| 年月 | 各国政策金利 | ||||||
|---|---|---|---|---|---|---|---|
| 日本 | アメリカ | 欧州 | 豪州 | NZ | 英国 | 南アフリカ | |
| 2001年3月 | 0.15% | 5.00% | 4.75% | 5.50% | 6.25% | - | 12.00% |
川重の日足チャート(2001年2月)
| 年月 | 各国政策金利 | ||||||
|---|---|---|---|---|---|---|---|
| 日本 | アメリカ | 欧州 | 豪州 | NZ | 英国 | 南アフリカ | |
| 2001年2月 | 0.15% | 5.50% | 4.75% | 5.75% | 6.50% | - | 12.00% |
川重の日足チャート(2001年1月)
| 年月 | 各国政策金利 | ||||||
|---|---|---|---|---|---|---|---|
| 日本 | アメリカ | 欧州 | 豪州 | NZ | 英国 | 南アフリカ | |
| 2001年1月 | 0.25% | 5.50% | 4.75% | 6.25% | 6.50% | - | 12.00% |
