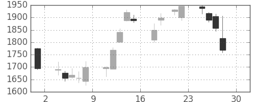
4月前年同月の日足チャート
日立建機の日足チャート(2020年4月)
| 年月 | 各国政策金利 | ||||||
|---|---|---|---|---|---|---|---|
| 日本 | アメリカ | 欧州 | 豪州 | NZ | 英国 | 南アフリカ | |
| 2020年4月 | -0.10% | 0.25% | 0.00% | 0.25% | 0.25% | 0.10% | 4.25% |
日立建機の日足チャート(2019年4月)
| 年月 | 各国政策金利 | ||||||
|---|---|---|---|---|---|---|---|
| 日本 | アメリカ | 欧州 | 豪州 | NZ | 英国 | 南アフリカ | |
| 2019年4月 | -0.10% | 2.50% | 0.00% | 1.50% | 1.75% | 0.75% | 6.75% |
日立建機の日足チャート(2018年4月)
| 年月 | 各国政策金利 | ||||||
|---|---|---|---|---|---|---|---|
| 日本 | アメリカ | 欧州 | 豪州 | NZ | 英国 | 南アフリカ | |
| 2018年4月 | -0.10% | 1.75% | 0.00% | 1.50% | 1.75% | 0.50% | 6.50% |
日立建機の日足チャート(2017年4月)
| 年月 | 各国政策金利 | ||||||
|---|---|---|---|---|---|---|---|
| 日本 | アメリカ | 欧州 | 豪州 | NZ | 英国 | 南アフリカ | |
| 2017年4月 | -0.10% | 1.00% | 0.00% | 1.50% | 1.75% | 0.25% | 7.00% |
日立建機の日足チャート(2016年4月)
| 年月 | 各国政策金利 | ||||||
|---|---|---|---|---|---|---|---|
| 日本 | アメリカ | 欧州 | 豪州 | NZ | 英国 | 南アフリカ | |
| 2016年4月 | -0.10% | 0.50% | 0.00% | 2.00% | 2.25% | 0.50% | 7.00% |
日立建機の日足チャート(2015年4月)
| 年月 | 各国政策金利 | ||||||
|---|---|---|---|---|---|---|---|
| 日本 | アメリカ | 欧州 | 豪州 | NZ | 英国 | 南アフリカ | |
| 2015年4月 | 0.00% | 0.25% | 0.05% | 2.25% | 3.50% | 0.50% | 5.75% |
日立建機の日足チャート(2014年4月)
| 年月 | 各国政策金利 | ||||||
|---|---|---|---|---|---|---|---|
| 日本 | アメリカ | 欧州 | 豪州 | NZ | 英国 | 南アフリカ | |
| 2014年4月 | 0.00% | 0.25% | 0.25% | 2.50% | 3.00% | 0.50% | 5.50% |
日立建機の日足チャート(2013年4月)
| 年月 | 各国政策金利 | ||||||
|---|---|---|---|---|---|---|---|
| 日本 | アメリカ | 欧州 | 豪州 | NZ | 英国 | 南アフリカ | |
| 2013年4月 | 0.00% | 0.25% | 0.75% | 3.00% | 2.50% | 0.50% | 5.00% |
日立建機の日足チャート(2012年4月)
| 年月 | 各国政策金利 | ||||||
|---|---|---|---|---|---|---|---|
| 日本 | アメリカ | 欧州 | 豪州 | NZ | 英国 | 南アフリカ | |
| 2012年4月 | 0.10% | 0.25% | 1.00% | 4.25% | 2.50% | 0.50% | 5.50% |
日立建機の日足チャート(2011年4月)
| 年月 | 各国政策金利 | ||||||
|---|---|---|---|---|---|---|---|
| 日本 | アメリカ | 欧州 | 豪州 | NZ | 英国 | 南アフリカ | |
| 2011年4月 | 0.10% | 0.25% | 1.25% | 4.75% | 2.50% | 0.50% | 5.50% |
日立建機の日足チャート(2010年4月)
| 年月 | 各国政策金利 | ||||||
|---|---|---|---|---|---|---|---|
| 日本 | アメリカ | 欧州 | 豪州 | NZ | 英国 | 南アフリカ | |
| 2010年4月 | 0.10% | 0.25% | 1.00% | 4.25% | 2.50% | 0.50% | 6.50% |
日立建機の日足チャート(2009年4月)
| 年月 | 各国政策金利 | ||||||
|---|---|---|---|---|---|---|---|
| 日本 | アメリカ | 欧州 | 豪州 | NZ | 英国 | 南アフリカ | |
| 2009年4月 | 0.10% | 0.25% | 1.25% | 3.00% | 2.50% | 0.50% | 8.50% |
日立建機の日足チャート(2008年4月)
| 年月 | 各国政策金利 | ||||||
|---|---|---|---|---|---|---|---|
| 日本 | アメリカ | 欧州 | 豪州 | NZ | 英国 | 南アフリカ | |
| 2008年4月 | 0.50% | 2.25% | 4.00% | 7.25% | 8.25% | 5.00% | 11.50% |
日立建機の日足チャート(2007年4月)
| 年月 | 各国政策金利 | ||||||
|---|---|---|---|---|---|---|---|
| 日本 | アメリカ | 欧州 | 豪州 | NZ | 英国 | 南アフリカ | |
| 2007年4月 | 0.50% | 5.25% | 3.75% | 6.25% | 7.75% | - | 9.00% |
日立建機の日足チャート(2006年4月)
| 年月 | 各国政策金利 | ||||||
|---|---|---|---|---|---|---|---|
| 日本 | アメリカ | 欧州 | 豪州 | NZ | 英国 | 南アフリカ | |
| 2006年4月 | 0.15% | 4.75% | 2.50% | 5.50% | 7.25% | - | 7.00% |
日立建機の日足チャート(2005年4月)
| 年月 | 各国政策金利 | ||||||
|---|---|---|---|---|---|---|---|
| 日本 | アメリカ | 欧州 | 豪州 | NZ | 英国 | 南アフリカ | |
| 2005年4月 | 0.15% | 2.75% | 2.00% | 5.50% | 6.75% | - | 7.00% |
日立建機の日足チャート(2004年4月)
| 年月 | 各国政策金利 | ||||||
|---|---|---|---|---|---|---|---|
| 日本 | アメリカ | 欧州 | 豪州 | NZ | 英国 | 南アフリカ | |
| 2004年4月 | 0.15% | 1.00% | 2.00% | 5.25% | 5.50% | - | 8.00% |
日立建機の日足チャート(2003年4月)
| 年月 | 各国政策金利 | ||||||
|---|---|---|---|---|---|---|---|
| 日本 | アメリカ | 欧州 | 豪州 | NZ | 英国 | 南アフリカ | |
| 2003年4月 | 0.15% | 1.25% | 2.50% | 4.75% | 5.50% | - | 13.50% |
日立建機の日足チャート(2002年4月)
| 年月 | 各国政策金利 | ||||||
|---|---|---|---|---|---|---|---|
| 日本 | アメリカ | 欧州 | 豪州 | NZ | 英国 | 南アフリカ | |
| 2002年4月 | 0.15% | 1.75% | 3.25% | 4.25% | 5.25% | - | 11.50% |
日立建機の日足チャート(2001年4月)
| 年月 | 各国政策金利 | ||||||
|---|---|---|---|---|---|---|---|
| 日本 | アメリカ | 欧州 | 豪州 | NZ | 英国 | 南アフリカ | |
| 2001年4月 | 0.15% | 4.50% | 4.75% | 5.00% | 6.00% | - | 12.00% |
日立建機の日足チャート(2000年4月)
| 年月 | 各国政策金利 | ||||||
|---|---|---|---|---|---|---|---|
| 日本 | アメリカ | 欧州 | 豪州 | NZ | 英国 | 南アフリカ | |
| 2000年4月 | 0.15% | 6.00% | 3.75% | 5.75% | 6.00% | - | 11.75% |
日立建機の日足チャート(1999年4月)
日立建機の日足チャート(1998年4月)
日立建機の日足チャート(1997年4月)
日立建機の日足チャート(1996年4月)
日立建機の日足チャート(1995年4月)
日立建機の日足チャート(1994年4月)
日立建機の日足チャート(1993年4月)
日立建機の日足チャート(1992年4月)
日立建機の日足チャート(1991年4月)
日立建機の日足チャート(1990年4月)
日立建機の日足チャート(1989年4月)
日立建機の日足チャート(1988年4月)
日立建機の日足チャート(1987年4月)
日立建機の日足チャート(1986年4月)
日立建機の日足チャート(1985年4月)
日立建機の日足チャート(1984年4月)
日立建機の日足チャート(1983年4月)
